• Página Inicial | Archivos >
  • Placas Fotográficas
  • Archivo de imágenes
  • Archivo B.Schmidt
  • English (UK)
  • Deutsch
  • Español

Observación y cuadernos de bitácora - Hamburger Sternwarte

Detalles
Visto: 2761

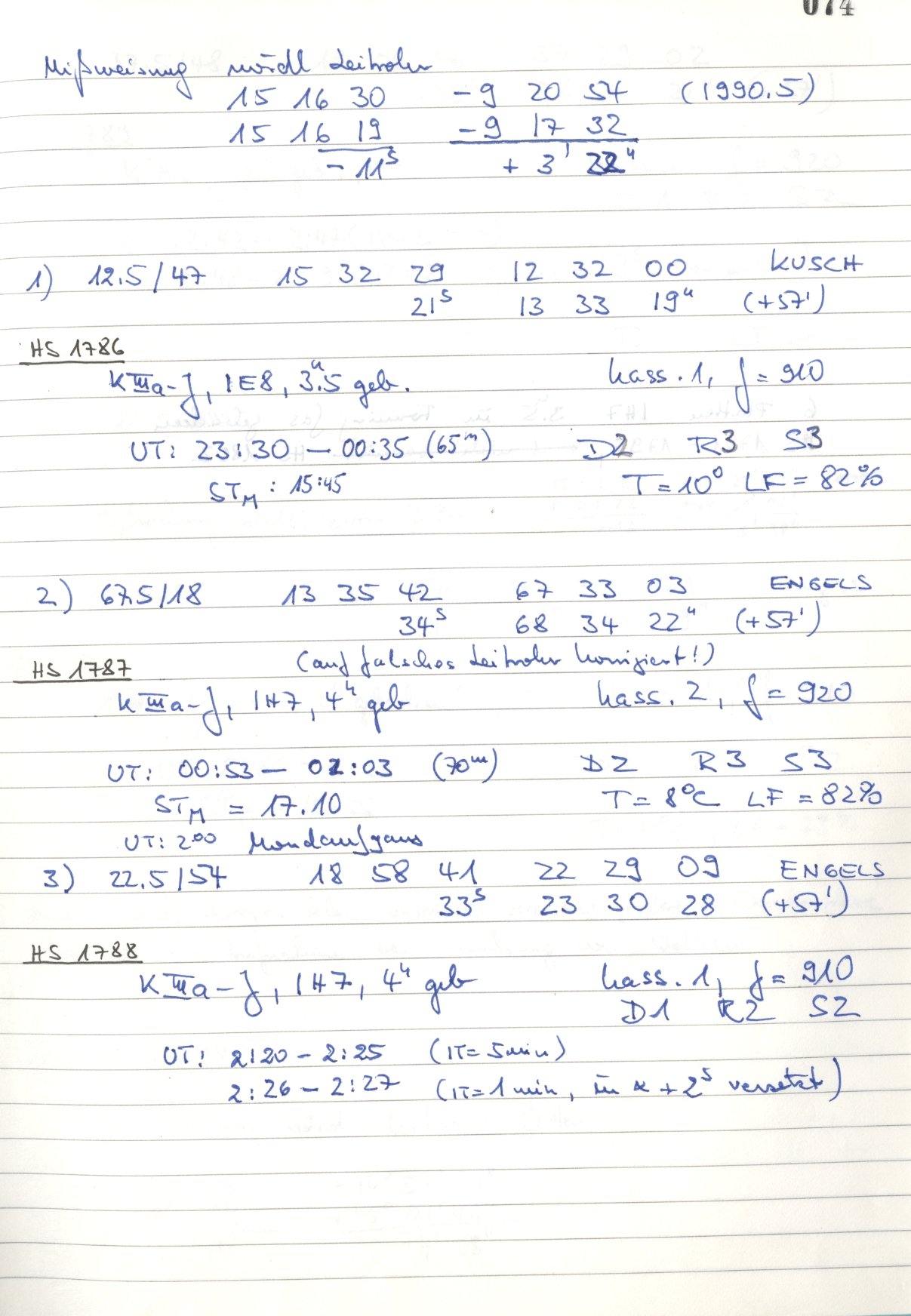
LB06 (Hamburger Schmidtspiegel)

Pfeil
atrás


primera página
Pfeil
adelante


última página

Anzeige von Logbuecher/HS/LB06/1990-05-19d.jpg
1990-05-19d.jpg
Página 137 de 180
Anzeige von Logbuecher/HS/LB06/1990-05-20a.jpg
1990-05-20a.jpg
Página 138 de 180
Pfeil
Pfeil

Notas del observador (Hamburger Schmidtspiegel)

LB01  LB02  LB03  LB04  LB05  LB06  LB07  LB08  LB09 

Notas del observador y Bitácora

  • Äquatoreal (AE)
  • AG-Telescopio (AG)
  • Äquatorial (AQ)
  • Doppel-Reflektor (DR)
  • Großer Refraktor (GR)
  • Großer Schmidt-Spiegel (GS)
  • Hamburger Schmidtspiegel (HS)
  • Kleiner Schmidtspiegel II (KS)
  • Lippert-Astrographen (LA)
  • Photo-Zenit-Telescope, DHI (PZ)
  • Ross-Kamrea (RK)
  • Rümker-Notizen(RN)
  • Repsold-Refraktor (RR)
  • Schmidtsches Spiegeltelescopio (SS)
  • 1m-Spiegeltelescopio (S)
  • WP-Telescopio (WP)
  • Zonen-Astrograph (ZA)
Impressum
Datenschutzerklärung

Hamburger Sternwarte | Fachbereich Physik | Universität Hamburg
© 2011 Alle Rechte vorbehalten